Abstract
Background
Bleeding complications would occur more frequently among patients with a diagnosis of cancer during anticoagulant treatment than those without cancer. Recently, several new direct oral anticoagulants (DOACs) have become available for the treatment of VTE. However, only small portion of patients in the prospective trials had active cancer. Further there are not enough studies on bleeding events of patients with cancer associated thrombosis (CAT). We therefore conducted retrospective analysis of bleeding events in patients treated with LMWH and DOACs for CAT.
Methods
We reviewed medical records and gathered clinical data for patients diagnosed with CAT and treated with LMWH or DOACs between 2010 and 2015. Data included patient demographics and bleeding events.
Results
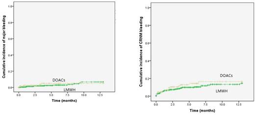
We enrolled 606 patients from 7 hospitals in Korea for CAT in this retrospective analysis. Four hundred and seventy seven patients (78.7%) were treated with LMWH for anticoagulation of CAT while 129 patients (21.3%) were DOACs. Bleeding events occurred in 59 patients in the LMWH group and 31 patients in the DOACs group. Major bleeding events occurred in 13 patients in LMWH and 5 patients in DOACs. The cumulative incidence of major bleeding was 6.7% and 5% in DOACs, respectively. The Cumulative incidence of clinically relevant non-major (CRNM) bleeding events was 14.5% in LMWH and 16.4% in DOACs.
Conclusion
There was no significant difference in bleeding complications when LMWH and DOACs were used in treatment of CAT in the real world.
No relevant conflicts of interest to declare.
Author notes
Asterisk with author names denotes non-ASH members.
This feature is available to Subscribers Only
Sign In or Create an Account Close Modal